Correct option is B
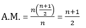
Arithmetic Mean (A.M.)= Sum of the numbers/ Total number of terms
Sum of the first n natural numbers: The sum of 1,2,3,…,n
Arithmetic Mean (A.M.)= Sum of the numbers/ Total number of terms
Sum of the first n natural numbers: The sum of 1,2,3,…,n
The mean marks of boys in a class is 52 and that of girls is 42. The mean marks of boys and girls combined is 50. The percentage of boys in the class is:
The mean of the probability distribution of the number obtained on throwing a die having 1 on three faces, 2 on two faces, and 5 on one face is:
What is the mean of the following distribution?

The arithmetic mean of the observations 28, 31, 40, 63, 57, 37, 34, 70 and 99 is:
Correct relation for the numbers 10, 7, 8, 5, 6, 8, 5, 8, 6 is:
If mean of a variable X is M, then mean of variable Y = (X – 4)/5 will be:
What is the mean of the following distribution?
Marks | 12 | 22 | 58 | 79 | 89 |
No. of Students | 98 | 74 | 17 | 28 | 44 |
The arithmetic mean of the observations 83, 17, 62, 87, 62, 96, 86, 92 and 90 is:
What is the mean of the following distribution?
Marks | 13 | 27 | 59 | 61 | 97 |
No. of Students | 95 | 57 | 80 | 98 | 73 |
The mode and median of a data set is 89.7 and 32, respectively. What is the mean of the data set? (Use empirical formula.)
Suggested Test Series
Suggested Test Series