Correct option is D
Formula Used:
GM of n numbers a1, a2....an = (a1a2a3...an)1/n
Solution:
Let, n = 1
Positive numbers become a1, a2, a3 which are in GP
According to the question, P is the GM of a1, a2, a3
Therefore,

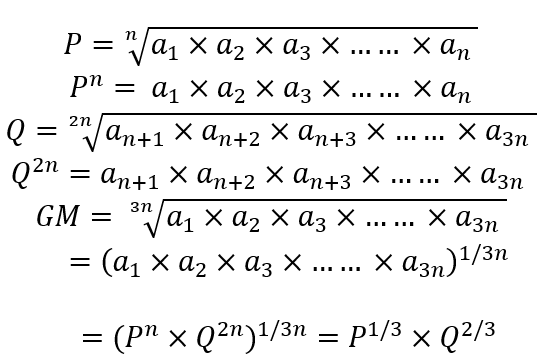
Let the positive numbers a1, a2, a3, ...., a3nbe in GP. If P is the GM of a1, a2, a3, ...., anand Q is the GM of an+1, an+2, an+3, ..., a3n, then what is the GM of 3n numbers?
Formula Used:
GM of n numbers a1, a2....an = (a1a2a3...an)1/n
Solution:
Let, n = 1
Positive numbers become a1, a2, a3 which are in GP
According to the question, P is the GM of a1, a2, a3
Therefore,

Next number in the series 1, 50, 100, 5000, 10000, ___ is :
On simplification, 1 - 2 + 3 - 4 + 5 - 6 + 7 - 8 + _____+ 111, we get
The sum of 21 + 22 + 23 + .....+ 50 is
On simplification 1 – 2 + 3 – 4 + 5 – 6 - - - - + 101, we get
1 + 2 + 3 +………+ 50 equals
If in an A.P., the pᵗʰ term is q and the (p + q)ᵗʰ term is 0, then the qᵗʰ term is:
If in an A.P., Sₙ = qn² and Sₘ = qm², where Sᵣ denotes the sum of first r terms of the A.P., then equals:
The value of Up to the seventh term is__________.
How many terms are there in 2, 4, 8, 16, ..., 1024?
The first term and last term of an AP are 33 and -57 respectively. If there are 16 terms in the series, then what will be sum?
Suggested Test Series
Suggested Test Series