Correct option is D
Let A be a matrix with detA=1 and traceA=3.
the characteristic equation is given by:
Let A be a real matrix with detA=1 and trace A=3.
What is the value of trace of
Let A be a matrix with detA=1 and traceA=3.
the characteristic equation is given by:
Let A be a real matrix with detA=1 and trace A=3.
What is the value of trace of
Let a , b and c are distinct integers. Let A be a matrix
Which among the following is the set of all possible ranks of A ?
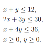
Consider the linear programming problem:
Maximize z = 3x + 4y
Subject to :

Let A and B be a matrices. Then which of the following is true ?


