hamburger menu
All Coursesall course arrow
adda247
reward-icon
adda247
    Question

    ​​​

    A.

    ​2​

    B.

    10

    C.

    9

    D.

    7

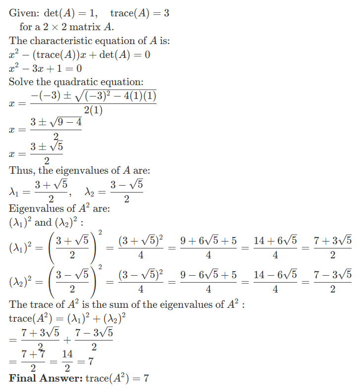
    Correct option is D

    ​​​


    Similar Questions

    test-prime-package

    Access ‘CSIR NET- GENERAL APTITUDE’ Mock Tests with

    • 60000+ Mocks and Previous Year Papers
    • Unlimited Re-Attempts
    • Personalised Report Card
    • 500% Refund on Final Selection
    • Largest Community
    students-icon
    368k+ students have already unlocked exclusive benefits with Test Prime!
    test-prime-package

    Access ‘CSIR NET- GENERAL APTITUDE’ Mock Tests with

    • 60000+ Mocks and Previous Year Papers
    • Unlimited Re-Attempts
    • Personalised Report Card
    • 500% Refund on Final Selection
    • Largest Community
    students-icon
    368k+ students have already unlocked exclusive benefits with Test Prime!
    Our Plans
    Monthsup-arrow