Correct option is B
Given Information:
The ratio of speeds of P and Q = 4:5
The race distance = 500 m
P gets a head start of 100 m, meaning P runs only 400 m while Q runs 500 m.
Step 1: Find Time Taken by Both Runners
Since speed = distance/time, the time taken by each runner is:

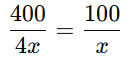
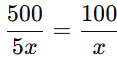
Let the speeds of P and Q be 4x and 5x respectively.
Time taken by P to run 400 m:

Time taken by Q to run 500 m:

Since both have the same time, they finish the race together.