arrow
arrow
arrow
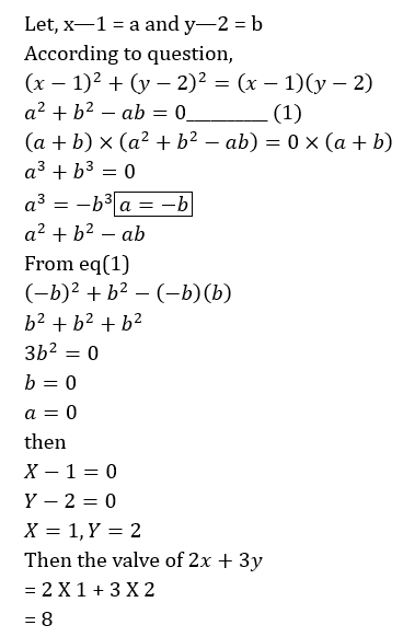
If (x—1)² + (y —2)² = (x —1) (y —2), where x and y are integers, then the value of 2x + 3y is:
Question

If (x—1)² + (y —2)² = (x —1) (y —2), where x and y are integers, then the value of 2x + 3y is:

A.

11

B.

7

C.

8

D.

5

Correct option is C



test-prime-package

Access ‘RRB ALP Electronics Mechanic’ Mock Tests with

  • 60000+ Mocks and Previous Year Papers
  • Unlimited Re-Attempts
  • Personalised Report Card
  • 500% Refund on Final Selection
  • Largest Community
students-icon
383k+ students have already unlocked exclusive benefits with Test Prime!
test-prime-package

Access ‘RRB ALP Electronics Mechanic’ Mock Tests with

  • 60000+ Mocks and Previous Year Papers
  • Unlimited Re-Attempts
  • Personalised Report Card
  • 500% Refund on Final Selection
  • Largest Community
students-icon
383k+ students have already unlocked exclusive benefits with Test Prime!
Our Plans
Monthsup-arrow