arrow
arrow
arrow
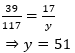
If the four numbers, 39, 117, 17 and y are in proportion, then find the value of y.
Question

If the four numbers, 39, 117, 17 and y are in proportion, then find the value of y.

A.

49

B.

51

C.

57

D.

85

Correct option is B


According to question.


Free Tests

Free
Must Attempt

SSC CGL T-I Similar Paper (Held on 12 Sep 2025 S2)

languageIcon English
  • pdpQsnIcon100 Questions
  • pdpsheetsIcon200 Marks
  • timerIcon60 Mins
languageIcon English
Free
Must Attempt

SSC CGL T-I GA Section Test 01

languageIcon English
  • pdpQsnIcon25 Questions
  • pdpsheetsIcon50 Marks
  • timerIcon15 Mins
languageIcon English
Free
Must Attempt

SSC CGL T-I Full Mock Test 1 (Exam Level)

languageIcon English
  • pdpQsnIcon100 Questions
  • pdpsheetsIcon200 Marks
  • timerIcon60 Mins
languageIcon English
test-prime-package

Access ‘SSC CGL Tier I’ Mock Tests with

  • 60000+ Mocks and Previous Year Papers
  • Unlimited Re-Attempts
  • Personalised Report Card
  • 500% Refund on Final Selection
  • Largest Community
students-icon
383k+ students have already unlocked exclusive benefits with Test Prime!
Our Plans
Monthsup-arrow