Correct option is D

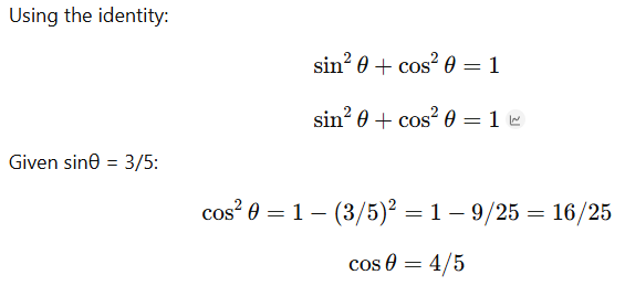
If sinθ = 3/5, find cos θ ?.

According to BIS SP 46-2003, which of the following applications is correctly represented by a chain-thin line in engineering drawings?
If the current flowing through a conductor is 5 A and the resistance of the conductor is 10 ohms, what will be the voltage across the conductor, according to Ohm's Law?
What is single-riveted lap joint?
When two pulleys are more than 8 metres apart, then which of the following belt drives is used for power transmission?
Which of the following is NOT a failure mode of ball bearings?
Silicon carbide as a honing abrasive is best suited for which type of material?
Which hardness test uses a diamond pyramid-shaped indenter?
___________ microstructure is typically obtained after normalising low-carbon steel.
What does 'charging' of a lapping tool mean?
In a forward Vernier scale, the size of one Vernier scale division is: