Correct option is A
Given:
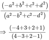
a ∶ b ∶ c ∶ d = √4 ∶ √3 ∶ √2 ∶ √1
Solution:
Directly putting the values of a = √4, b = √3, c = √2, d = √1 in the question,

=> 2/2 = 1
∴ The correct answer is a.
If a ∶ b ∶ c ∶ d = √4∶√3∶√2∶√1, then what is the value of ?
Given:
a ∶ b ∶ c ∶ d = √4 ∶ √3 ∶ √2 ∶ √1
Solution:
Directly putting the values of a = √4, b = √3, c = √2, d = √1 in the question,

=> 2/2 = 1
∴ The correct answer is a.
Find the value of x in the proportion 69 : 23 :: 63 : x.
The ratio of the incomes of A and B is 3 : 5 and the ratio of their expenditures is 2: 3. If the income of A is equal to 6/7 of the expenditure of B, then the ratio of the savings of A and B is :
The ratio of number of boys and girls in a school of 3528 students is 5:4. How many more girls should be admitted in the school to make this ratio 1:1?
If the third proportional of 28 and 70 be x, then what is the value of x?
The cost of 40 packets of 12 pens is ₹1680. The cost of 30 packets each containing 9 pens is
The first, second and fourth numbers in a proportion are 31, 12 and 156 respectively.
The mean proportional between 25 and a number N is two times the mean proportional between 15 and 35.
Compare the ratios 12 : 13, 7 : 8, 9 : 10, and 5 : 6. Which one is greater than 0.9 but smaller than 0.95?
Suggested Test Series
Suggested Test Series