hamburger menu
All Coursesall course arrow
adda247
reward-icon
adda247
    arrow
    arrow
    arrow
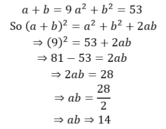
    If a + b = 9 and a²+b²=53, then find the value of ab.
    Question

    If a + b = 9 and a²+b²=53, then find the value of ab.

    A.

    14

    B.

    20

    C.

    8

    D.

    18

    Correct option is A


    Given that

    test-prime-package

    Access ‘RRB ALP Electronics Mechanic’ Mock Tests with

    • 60000+ Mocks and Previous Year Papers
    • Unlimited Re-Attempts
    • Personalised Report Card
    • 500% Refund on Final Selection
    • Largest Community
    students-icon
    354k+ students have already unlocked exclusive benefits with Test Prime!
    test-prime-package

    Access ‘RRB ALP Electronics Mechanic’ Mock Tests with

    • 60000+ Mocks and Previous Year Papers
    • Unlimited Re-Attempts
    • Personalised Report Card
    • 500% Refund on Final Selection
    • Largest Community
    students-icon
    354k+ students have already unlocked exclusive benefits with Test Prime!
    Our Plans
    Monthsup-arrow