hamburger menu
All Coursesall course arrow
adda247
reward-icon
adda247
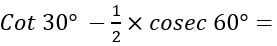
    Question


    A.

    √2/√3

    B.

    2/3

    C.

    2/√3

    D.

    √2/3

    Correct option is C


    Given that

    test-prime-package

    Access ‘RRB ALP Electronics Mechanic’ Mock Tests with

    • 60000+ Mocks and Previous Year Papers
    • Unlimited Re-Attempts
    • Personalised Report Card
    • 500% Refund on Final Selection
    • Largest Community
    students-icon
    383k+ students have already unlocked exclusive benefits with Test Prime!
    test-prime-package

    Access ‘RRB ALP Electronics Mechanic’ Mock Tests with

    • 60000+ Mocks and Previous Year Papers
    • Unlimited Re-Attempts
    • Personalised Report Card
    • 500% Refund on Final Selection
    • Largest Community
    students-icon
    383k+ students have already unlocked exclusive benefits with Test Prime!
    Our Plans
    Monthsup-arrow