arrow
arrow
arrow
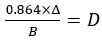
For the irrigation of a crop the base period B (in day), depth of water (in meter) are related to the duty (in ha/ cumec) at the field as -
Question

For the irrigation of a crop the base period B (in day), depth of water (in meter) are related to the duty (in ha/ cumec) at the field as -

A.

864 × D = B

B.


C.


D.

None of these

Correct option is B



Similar Questions

test-prime-package

Access ‘RSMSSB JE’ Mock Tests with

  • 60000+ Mocks and Previous Year Papers
  • Unlimited Re-Attempts
  • Personalised Report Card
  • 500% Refund on Final Selection
  • Largest Community
students-icon
383k+ students have already unlocked exclusive benefits with Test Prime!
test-prime-package

Access ‘RSMSSB JE’ Mock Tests with

  • 60000+ Mocks and Previous Year Papers
  • Unlimited Re-Attempts
  • Personalised Report Card
  • 500% Refund on Final Selection
  • Largest Community
students-icon
383k+ students have already unlocked exclusive benefits with Test Prime!
Our Plans
Monthsup-arrow