Correct option is B
The formula to calculate the total number of handshakes when n people shake hands with each other exactly once is:

Given that the total number of handshakes is 66, we set up the equation:

Step 1: Solve for n

Now, we find nnn by solving the quadratic equation:

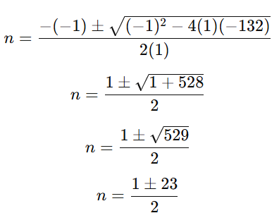
Using the quadratic formula:

Taking the positive root:
