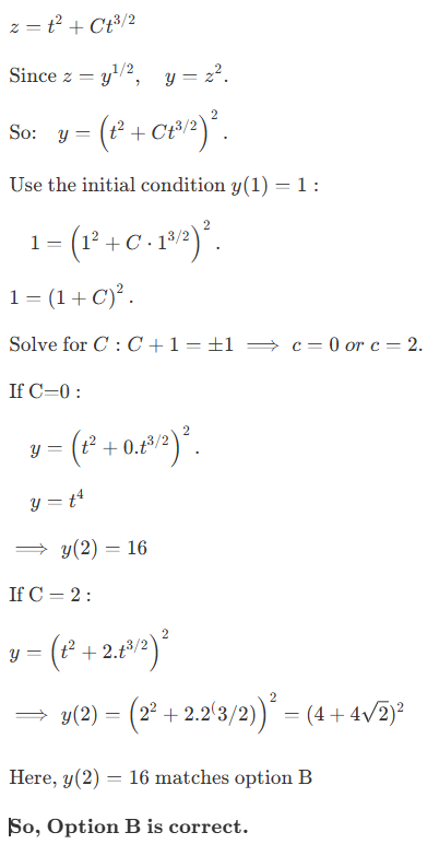
Consider the ODE: ty′−3y=t2y1/2,y(1)=1.Find the value of y(2).\text{Consider the ODE: }\\t y' - 3y = t^2 y^{1/2}, \quad y(1) = 1.\\\text{Find the value of } y(2).Consider the ODE: ty′−3y=t2y1/2,y(1)=1.Find the value of y(2).
14
16
0
8
Let y0>0, z0>0, α>1.Consider the following two differential equations:(∗)dydt=yαfor t>0,y(0)=y0(∗∗)dzdt=−zαfor t>0,z(0)=z0We say that the solution to a differential equation exists globally if it exists for all t>0.\text{Let } y_0 > 0, \ z_0 > 0, \ \alpha > 1. \\[10pt]\text{Consider the following two differential equations:} \\[10pt](*) \quad \frac{dy}{dt} = y^{\alpha} \quad \text{for} \ t > 0, \quad y(0) = y_0 \\[10pt](**) \quad \frac{dz}{dt} = -z^{\alpha} \quad \text{for} \ t > 0, \quad z(0) = z_0 \\[10pt]\text{We say that the solution to a differential equation exists globally if it exists for all } t > 0.Let y0>0, z0>0, α>1.Consider the following two differential equations:(∗)dtdy=yαfor t>0,y(0)=y0(∗∗)dtdz=−zαfor t>0,z(0)=z0We say that the solution to a differential equation exists globally if it exists for all t>0.
Which of the following statements is true?
For a positive integer n, let f(n)f^{(n)}f(n) denote the n-th derivative of f.
Suppose anentire function f satisfies: f(2)+f=0f^{(2)}+f=0f(2)+f=0
Which of the following is correct?
Let f:R2→R be continuous andf(t,x)<0if tx>0,f(t,x)>0if tx<0.Consider the problem of solving the following:x˙=f(t,x),x(0)=0.Which of the following is true?\text{Let } f : \mathbb{R}^2 \to \mathbb{R} \text{ be continuous and} \\[10pt]f(t, x) < 0 \quad \text{if } tx > 0, \\[10pt]f(t, x) > 0 \quad \text{if } tx < 0. \\[10pt]\text{Consider the problem of solving the following:} \\[10pt]\dot{x} = f(t, x), \quad x(0) = 0. \\[10pt]\text{Which of the following is true?}Let f:R2→R be continuous andf(t,x)<0if tx>0,f(t,x)>0if tx<0.Consider the problem of solving the following:x˙=f(t,x),x(0)=0.Which of the following is true?
Consider the differential equation:x2y′′−2x(x+1)y′+2(x+1)y=0.If a polynomial is a solution, then the degree of the polynomial is equal to:\text{Consider the differential equation:} \\[10pt]x^2 y'' - 2x(x + 1)y' + 2(x + 1)y = 0. \\[10pt]\text{If a polynomial is a solution, then the degree of the polynomial is equal to:}Consider the differential equation:x2y′′−2x(x+1)y′+2(x+1)y=0.If a polynomial is a solution, then the degree of the polynomial is equal to:
For λ∈R, consider the system of differential equations:x1′=x1+2x2+2x3,x2′=2x2+x3,x3′=−x3+2x2+λx3.If x⃗(t)=a⃗ te2t (for some a⃗) is a solution of the system, then the value of λ is equal to.\text{For } \lambda \in \mathbb{R}, \text{ consider the system of differential equations:} \\x'_1 = x_1 + 2x_2 + 2x_3, \\x'_2 = 2x_2 + x_3, \\x'_3 = -x_3 + 2x_2 + \lambda x_3. \\[10pt]\text{If } \vec{x}(t) = \vec{a} \, t e^{2t} \, (\text{for some } \vec{a}) \text{ is a solution of the system, then the value of } \lambda \text{ is equal to.}For λ∈R, consider the system of differential equations:x1′=x1+2x2+2x3,x2′=2x2+x3,x3′=−x3+2x2+λx3.If x(t)=ate2t(for some a) is a solution of the system, then the value of λ is equal to.
Let k be a positive integer. Consider the differential equation{dydt=5ky5k+2,for t>0,y(0)=0Which of the following statements is true?\text{Let } k \text{ be a positive integer. Consider the differential equation} \\\begin{cases} \frac{dy}{dt} = \frac{5k}{y^{5k+2}}, & \text{for } t > 0, \\y(0) = 0 \end{cases} \\\text{Which of the following statements is true?}Let k be a positive integer. Consider the differential equation{dtdy=y5k+25k,y(0)=0for t>0,Which of the following statements is true?