arrow
arrow
arrow
Among the numbers 4/9, 5/6, 7/12, 11/24, and 8/11, the sum of the largest and the smallest number is:
Question

Among the numbers 4/9, 5/6, 7/12, 11/24, and 8/11, the sum of the largest and the smallest number is:

A.

1 37/66

B.

1 49/264

C.

1 5/18

D.

7/66

Correct option is C

 
Given:
- Numbers: 4/9, 5/6, 7/12, 11/24, and 8/11 Formula Used:
1. To find the largest and smallest numbers, compare fractions by converting them to a common denominator or using decimal equivalents.
2. Add the largest and smallest fractions. Solution:
1. Converting fractions to decimals: - 4/9 ≈ 0.444 - 5/6 ≈ 0.833 - 7/12 ≈ 0.583 - 11/24 ≈ 0.458 - 8/11 ≈ 0.727
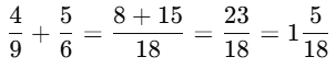
2. Smallest number = 4/9 and largest number = 5/6
3. Sum of the largest and smallest numbers:

Free Tests

Free
Must Attempt

MPTET Varg 3 PRT Mock 01

languageIcon English
  • pdpQsnIcon150 Questions
  • pdpsheetsIcon150 Marks
  • timerIcon150 Mins
languageIcon English
Free
Must Attempt

MPTET Varg 3 PRT CDP Subject Test 01

languageIcon English
  • pdpQsnIcon20 Questions
  • pdpsheetsIcon20 Marks
  • timerIcon20 Mins
languageIcon English
Free
Must Attempt

UPTET Paper 2 Social Science : PYP Held on 23rd Jan 2022 (Shift 2)

languageIcon English
  • pdpQsnIcon150 Questions
  • pdpsheetsIcon150 Marks
  • timerIcon150 Mins
languageIcon English
test-prime-package

Access ‘Allahabad High Court Group D’ Mock Tests with

  • 60000+ Mocks and Previous Year Papers
  • Unlimited Re-Attempts
  • Personalised Report Card
  • 500% Refund on Final Selection
  • Largest Community
students-icon
383k+ students have already unlocked exclusive benefits with Test Prime!
Our Plans
Monthsup-arrow