Correct option is B
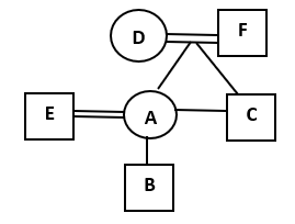
Given:
A is the mother of B.
B is C's sister's son.
C is the only son of D.
D is the maternal grandmother of B and E is the son-in-law of F.
F has only one daughter and is the husband of D.
Symbols used:

Family tree of above information is:

Hence, from the given diagram we can say that E is husband of A.