Correct option is C
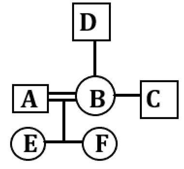
- A is husband of B,
- C is B’s brother,
- D is B’s father,
- E is B’s daughter and F daughter of A.


A is husband of B, C is B’s brother, D is B’s father, E is B’s daughter and F is daughter of A. What is the relation between F and D?


R is the sister of S. J is the mother of R. I is the husband of J. T is the daughter of I. D is the mother of J. C is the father of T's mother. How is D related to T?
There is a family of six members D, K, L, M, N and P. They are Lecturer, Artist, Businessman, Executive, NGO workers and Singer but not necessarily in the same order. There are two married couples. 'N' a Lecturer, is married to the Artist who is the mother of 'L' and 'P' 'P' is pursuing singing. 'D' has one son and one grandson, who is an Executive. 'K' the Businessman, is married to 'D'. One of the two married ladies, one is a NGO worker.
Which of the following statements is true?
F is the sister of G. G is the husband of H. H is the daughter of I. I is the wife of J. How is F related to J?
A is husband of B, C is B’s brother, D is B’s father, E is B’s daughter and F is daughter of A. What is the relation between F and D?
A boy is performing on the stage. Pointing at him, a man in the audience seated next to the boy’s father said, “He is the son of the husband of a lady who is the daughter-in-law of the father-in law of my wife”. How is the man related to the boy performing on the stage?
Komal is the daughter of Mrs. Suman and Sonam is the daughter of Mr. Kamal. If Rajaram is the father-in-law of Suman and husband of Surekha, who is the mother of her only child Kamal. How is Komal related to Sonam?
Suggested Test Series
Suggested Test Series