Correct option is B
Sol.
When the block is displaced lightly and let go, it oscillates back and forth due to the elastic force of the spring and the torque caused by the rope on the pulley.
For a coordinate system where displacement x to the right is taken as positive, the restoring force from the spring, Fspring = −kx.
The torque on the pulley, τ = Iα = I(d²θ/dt²).
- But the torque is also the force from the string times the radius of the pulley, τ = Fradius×a. Since there is no slipping, the linear displacement of the mass, x, is related to the angular displacement of the pulley, θ, by x = aθ.
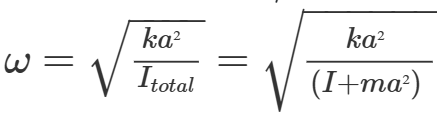
- Substituting F_spring and τ, we have I×(d²θ/dt²)=−kaθ. or,d²θ/dt²=−kaθ/I. Comparing it with the standard equation of the simple harmonic motion d²θ/dt²=−ω²θ
- The total moment of inertia of the system isn't just the moment of inertia of the disc (I), but also includes the contribution from the block through the pulley system. When the block is in motion due to the rotation of the disc, it actually adds to the moment of inertia because its motion follows a circular path, revolving around the center of the disc.
- The moment of inertia of a point mass (like the block in this case) moving in a circle of radius a is given by Ipointmass = ma².
- Therefore, the total moment of inertia of the system Itotal will be the sum of the disc's moment of inertia (I) and the moment of inertia of the block, i.e.,Itotal=I+ma².
- Comparing it with the standard equation of the simple harmonic motion d²θ/dt²=−ω²θ
- The angular frequency ω of small oscillations is given by:





