Correct option is D
Let the quantity of juice and water in the mixture be 3a and 1a liters respectively
ATQ,

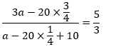
3(3a-15)=5(a+5)
9a-45=5a+25
4a=70
a=17.5
Y = 3a+a=4a=4×17.5=70
A mixture of Y liters of juice and water is in the ratio 3:1 respectively. If 20 liters of the mixture is taken out and 10 liters of water is added to the mixture, the ratio of juice to water in the resultant mixture becomes 5:3. Find the value of Y.
Let the quantity of juice and water in the mixture be 3a and 1a liters respectively
ATQ,

3(3a-15)=5(a+5)
9a-45=5a+25
4a=70
a=17.5
Y = 3a+a=4a=4×17.5=70
Surya rice = ₹40/kg, Chandra rice = ₹50/kg mixed in ratio 3:2. Find mixture price.
The ratio of acid and water in solution A and solution B is 7: 8 and 9: 11, respectively. 3 litres of solutionA is mixed with 4 litres of solution B and 1 litre water is also added to it. What is the percentage of acid inthe resulting solution?
A mixture contains milk and water in the ratio 2 : 1. The total quantity of the mixture is 30 liters. If x liters of water are added to the mixture, the ratio of milk to water becomes 2 : 3. Find the value of x.
A tank holds liters of water. If 2.375 liters are drained twice, how much water remains?
Two containers, A and B, contain mixtures of alcohol and water. Container A has alcohol and water in the ratio 4:1, while Container B has them in the ratio 5:2. If 10 liters are drawn from Container A and 14 liters from Container B, and the contents are mixed in a third container, what is the ratio of alcohol to water in the new mixture?
A container holds a mixture of three liquids A, B, and C in ratio 2:3:5. If 6 liters of liquid A, 12 liters of liquid B, and a certain amount of liquid C are added to the container, the new ratio of liquids A, B, and C becomes 3:5:8. Find the quantity (in liters) of liquid C added.
A cistern contains 100 liters of pure syrup. 10 liters of syrup are drawn out and replaced by water. Then, 10 liters of the mixture are drawn out and replaced by water again. What is the ratio of syrup to water in the final mixture?
7 liters of milk and 3 liters of water is mixed in an empty bucket 'P'. In other empty bucket 'Q' six liters of milk is mixed in 1 liter of water. 3 liters of mixture 'P' and 4 liters of mixture from bucket'Q' are mixed in an empty bucket 'R'. What is the quantity of water (in liters) in bucket 'R' ?
A chemist prepared 50 grams of a medicine by mixing two ingredients 'P' and 'Q'. Rate of 'P' is ₹ 150 per 10 gm and that of 'Q' is ₹ 500 per 100 gm. 'P' and 'Q' are mixed in such a way that the cost of the resulting medicine is ₹ 12 per gm. What is the quantity of 'P' (in grams) in the medicine ?
The ratio of milk to water in a 208-liter mixture is 3:5. If 70 liters of water and X liters of milk are added to the mixture, then the ratio of milk to water in the resultant mixture becomes 7:10, respectively. Find X.
Suggested Test Series
Suggested Test Series