Correct option is A
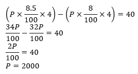
Let the amount invested in each scheme be Rs P
ATQ,

A man invested the same amount in two different schemes, i.e., A and B. He invested in schemes A and B at 8.5% p.a. and 8% p.a., respectively, for four years. If the difference between the simple interest received from schemes A and B is Rs 40, then find the amount he invested in each scheme.
Let the amount invested in each scheme be Rs P
ATQ,

What sum (in ₹) will earn a simple interest of ₹840 in 3 years at 20% per year rate of interest?
Simple interest of ₹375 is obtained on a sum of money for a period of 3 years at a rate of 2% per annum. Find the sum (in ₹).
A sum amounts to ₹ 9075 in years at 15% p.a, interest compounded 8-monthly. What is the simple interest (in ₹) on the same sum for the same period and at the same rate of interest ?
In how much time will a sum of money ₹7500 earn an interest of ₹150 at the rate of 4% per annum simple interest?
The simple interest on a certain sum for years at the rate of 4.5% per annum is ₹8,778. What will be the amount payable on the same sum at the rate of 5.5% per annum simple interest in years?
The simple interest on a principal amount is Rs. 714 for a period of 3 years at the rate of 7% per annum.
Amit invests a sum of Rs. 5400 and Gopal invests a sum of Rs. 10200 at the same rate of simple interest per annum. If, at the end of 4 years, Gopal gets Rs. 960 more interest than Amit, then find the rate of interest per annum (in percentage).
A certain sum invested at simple interest amounts to Rs. 8,411 in 3 years and to Rs. 9,776 in 6 years at thesame rate of interest per annum. What is the rate of interest per annum?
Gopal invests a sum of Rs. 5400 and Akshay invests a sum of Rs. 9400 at the same rate of simple interest per annum. If, at the end of 6 years, Akshay gets Rs. 720 more interest than Gopal, then find the rate of interest per annum (in percentage).
Akshay invests a sum of Rs. 5400 and Atul invests a sum of Rs. 9400 at the same rate of simple interest per annum. If, at the end of 6 years, Atul gets Rs. 360 more interest than Akshay, then find the rate of interest per annum (in percentage).
Suggested Test Series
Suggested Test Series