arrow
arrow
arrow
A is the daughter-in-law of B. E is the brother of A. B has only one son, C. If D is the son of C, how is D related to A?
Question

A is the daughter-in-law of B. E is the brother of A. B has only one son, C. If D is the son of C, how is D related to A?

A.

Son

B.

Son’s son

C.

Brother

D.

Son's wife

Correct option is A


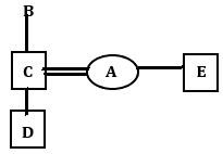
Given:
· A is the daughter-in-law of B.
· E is the brother of A.
· B has only one son C.
From the given information following family diagram cab be drawn-


From the above diagram D is the son of A.
correct answer is (a) Son.

Free Tests

Free
Must Attempt

SSC CGL T-I Similar Paper (Held on 12 Sep 2025 S2)

languageIcon English
  • pdpQsnIcon100 Questions
  • pdpsheetsIcon200 Marks
  • timerIcon60 Mins
languageIcon English
Free
Must Attempt

SSC CGL T-I GA Section Test 01

languageIcon English
  • pdpQsnIcon25 Questions
  • pdpsheetsIcon50 Marks
  • timerIcon15 Mins
languageIcon English
Free
Must Attempt

SSC CGL T-I Full Mock Test 1 (Exam Level)

languageIcon English
  • pdpQsnIcon100 Questions
  • pdpsheetsIcon200 Marks
  • timerIcon60 Mins
languageIcon English
test-prime-package

Access ‘SSC Stenographer’ Mock Tests with

  • 60000+ Mocks and Previous Year Papers
  • Unlimited Re-Attempts
  • Personalised Report Card
  • 500% Refund on Final Selection
  • Largest Community
students-icon
383k+ students have already unlocked exclusive benefits with Test Prime!
Our Plans
Monthsup-arrow