Correct option is C
ATQ,

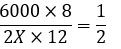
X = 4000
A and B started a business with investments of Rs 6000 and Rs 2X, respectively. After 8 months, A is left, and at the end of the year the profit-sharing ratio of A to B is 1:2. Find X.
ATQ,

X = 4000
Rs. 169000 is divided among A, B and C such that A 's share is 6/7 of total share of B and C together and B's share is 4/9 of total share of A and C together. What is the share of C?
A sum of ₹9240 is divided between A, B and C such that the ratio of C's share to the combined share of A and B is 3:8 and the ratio of B's share to the combined share of A and C is 2:5. What is the share of A?
X, Y and Z invested a sum in the ratio of 58 : 72 : 20, respectively. If they earned a total profit of Rs. 3,750 at the end of the year, what is the difference between the shares of Y and Z?
Rs. 42,100 were divided among A, B and C such that 8 times the share of A = 3 times the share of B = 6 times the share of C. Find the share of A.
A, B and C invested a sum in the ratio of 8 : 36 : 76, respectively. If they earned a total profit of Rs. 3,030 at the end of the year, what is the difference between the shares of B and C?
P and Q started a business by investing Rs. 8,000 and Rs. 6,000 respectively. After x months, Q withdrew his investment. At the end of the year, Q’s share of profit was Rs. 2,000 out of a total profit of Rs. 6,000. Find the value of x.
A and B invested in a business in the ratio 5 : 6. The profit ratio was 10 : 9. If B invested his money for 12 months, for how many months did a invest?
Gautam started a business with a sum of ₹ 60,000. Jatin joined him 8 months later with a sum of ₹ 35,000. At what respective ratio will the two share the profit after two years?
Ritu, Sameer, and Isha invest ₹1,350, ₹1,470, and ₹1,380, respectively, to start a business. If the profit at the end of the year is ₹1,330, then what is the share of Isha in the profit?
Out of the total profit of Rs. 15,500 in a business of A and B, A gets Rs. 5,500 as profit. If the investment of A is Rs. 67,500 less than the investment of B, then the investment of B (in Rs.) is:
Suggested Test Series
Suggested Test Series