Correct option is B
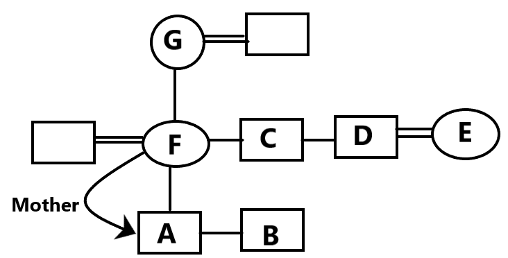
C and D are brothers of A and B's mother.
E is D’s wife and the sister-in-law of F.
E is F’s sister-in-law, (meaning F is D’s sister and also C’s sister).
F is the only daughter of G.
F is G’s daughter.
G is B’s maternal grandmother. (Since G is B’s maternal grandmother, G is the mother of A and B’s mother.)
According to the given information, family tree diagram will be:


Since G has only one daughter (F), it means F must be A and B’s mother.