Correct option is D
Interest Rate Parity (IRP) is a fundamental principle in international finance that explains the relationship between interest rates and exchange rates. It states that:

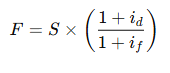
where:
FFF = Forward exchange rate
SSS = Spot exchange rate
idi_did = Domestic interest rate
ifi_fif = Foreign interest rate
According to IRP, the difference in interest rates between two countries determines the forward exchange rate to prevent arbitrage opportunities.
Option (4) is correct because Interest Rate Parity characterizes the relationship between interest rates and exchange rates of two countries.
IRP ensures that investors cannot make risk-free profits through currency arbitrage.
Information Booster:
Interest Rate Parity (IRP) is classified into two types:
Covered Interest Rate Parity (CIRP):Forward rates adjust to prevent arbitrage.
Uncovered Interest Rate Parity (UIRP):Expected future spot rates adjust based on interest rate differentials.
Implications of IRP:
- Ensures that foreign exchange markets remain efficient.
Affects international investment and hedging decisions.
Explains why currencies of countries with higher interest rates tend to depreciate over time.
