arrow
arrow
arrow
Two points P and Q lie on line units from another point R(1,5). What are the coordinates of the points P and Q?
Question

Two points P and Q lie on line units from another point R(1,5). What are the coordinates of the points P and Q?

A.


B.


C.


D.


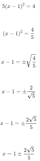
Correct option is A






Free Tests

Free
Must Attempt

Set Theory

languageIcon English
  • pdpQsnIcon10 Questions
  • pdpsheetsIcon10 Marks
  • timerIcon10 Mins
languageIcon English
Free
Must Attempt

AAI Junior Executive (ATC) Mock 1

languageIcon English
  • pdpQsnIcon120 Questions
  • pdpsheetsIcon120 Marks
  • timerIcon120 Mins
languageIcon English
Free
Must Attempt

Indian Air Force AFCAT II 2025 Mock 01

languageIcon English
  • pdpQsnIcon100 Questions
  • pdpsheetsIcon300 Marks
  • timerIcon120 Mins
languageIcon English

Similar Questions

TEST PRIME

Access ‘NDA and NA’ Mock Tests with

  • 60000+ Mocks and Previous Year Papers
  • Unlimited Re-Attempts
  • Personalised Report Card
  • 500% Refund on Final Selection
  • Largest Community
1 month
students-icon
368k+ students have already unlocked exclusive benefits with Test Prime!
TEST PRIME

Access ‘NDA and NA’ Mock Tests with

  • 60000+ Mocks and Previous Year Papers
  • Unlimited Re-Attempts
  • Personalised Report Card
  • 500% Refund on Final Selection
  • Largest Community
1 month
students-icon
368k+ students have already unlocked exclusive benefits with Test Prime!
Our Plans
Monthsup-arrow