hamburger menu
All Coursesall course arrow
adda247
reward-icon
adda247
    arrow
    arrow
    arrow
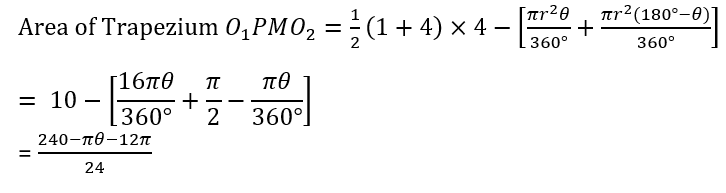
    Two circles with centres at O1 and O2 touching each other are placed inside a rectangle of sides 9 cm and 8 cm as shown in the figure given
    Question

    Two circles with centres at O1 and O2 touching each other are placed inside a rectangle of sides 9 cm and 8 cm as shown in the figure given below.

    What is the area of the shaded region?

    A.

    square unit

    B.

    square unit

    C.

    square unit

    D.

    square unit

    Correct option is D



    Free Tests

    Free
    Must Attempt

    Set Theory

    languageIcon English
    • pdpQsnIcon10 Questions
    • pdpsheetsIcon10 Marks
    • timerIcon10 Mins
    languageIcon English
    Free
    Must Attempt

    AAI Junior Executive (ATC) Mock 1

    languageIcon English
    • pdpQsnIcon120 Questions
    • pdpsheetsIcon120 Marks
    • timerIcon120 Mins
    languageIcon English

    Similar Questions

    test-prime-package

    Access ‘UPSC CDS’ Mock Tests with

    • 60000+ Mocks and Previous Year Papers
    • Unlimited Re-Attempts
    • Personalised Report Card
    • 500% Refund on Final Selection
    • Largest Community
    students-icon
    393k+ students have already unlocked exclusive benefits with Test Prime!
    test-prime-package

    Access ‘UPSC CDS’ Mock Tests with

    • 60000+ Mocks and Previous Year Papers
    • Unlimited Re-Attempts
    • Personalised Report Card
    • 500% Refund on Final Selection
    • Largest Community
    students-icon
    393k+ students have already unlocked exclusive benefits with Test Prime!
    Our Plans
    Monthsup-arrow