Correct option is C
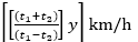
Let the distance be D km and speed in still water be u km/h
from equation (1) and (2)
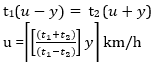
Let the distance be D km and speed in still water be u km/h
from equation (1) and (2)
The time taken by a boat to go 18 km downstream is equal to the time taken by it to go 10.8 km upstream. The speed of the boat in still water is 8 km/h. How much time (in hours) will the boat take to go 45 km upstream?
The time taken by a boat to travel 75 km upstream is equal to 1of the time it takes to travel 60 km downstream. The speed of the boat in still water is 28 km/h. How much time (in hours) will the boat take to travel 51.2 km downstream?
The downstream speed of a boat is 18 km/h, and the speed of the stream is 3 km/h. Find the time taken (in hours) by the boat to cover a distance of 30 km upstream.
A boat can go 15 km upstream and 21 km downstream in 2 hours. If the speed of the stream is 3 km/h, then the time taken (in hours) by the boat to go 21 km upstream and 15 km downstream is :
The upstream speed of a boat is 12 km/hr more than the speed of a stream. If the boat can cover 45 km downstream in 2.5 hours, then how much distance is covered by the boat upstream in 5 hours?
Time taken by a boat to cover 90 km upstream is 2.5 hours more than that of same distance cover in downstream. If the ratio of Speed of boat in still water to stream is 5 : 1, then find the still water speed of the boat (in km/hr)?
The upstream speed of a boat is 15 km/hr and the ratio of time taken by the boat to cover 105 km upstream and 108 km downstream 7 : 6 respectively. Find the speed of stream (in km/hr)?
Speed of a boat in still water Is 10 km/hr. If speed of stream is 2 km/hr, then how much distance can the boat travel downstream in 2.5 hours?
Suggested Test Series
Suggested Test Series