hamburger menu
All Coursesall course arrow
adda247
reward-icon
adda247
    arrow
    arrow
    arrow
    To row a certain distance upstream and downstream takes t₁ hours and t₂ hours respectively and speed of stream is 'y' km/h. Find speed in still wat
    Question

    To row a certain distance upstream and downstream takes t₁ hours
    and t₂ hours respectively and speed of stream is 'y' km/h. Find speed in still water.

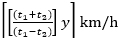
    A.


    B.


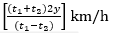
    C.


    D.


    Correct option is C


    Let the distance be D km and speed in still water be u km/h

    from equation (1) and (2)

    Free Tests

    Free
    Must Attempt

    CBT-1 Full Mock Test 1

    languageIcon English
    • pdpQsnIcon100 Questions
    • pdpsheetsIcon100 Marks
    • timerIcon90 Mins
    languageIcon English
    Free
    Must Attempt

    RRB NTPC Graduate Level PYP (Held on 5 Jun 2025 S1)

    languageIcon English
    • pdpQsnIcon100 Questions
    • pdpsheetsIcon100 Marks
    • timerIcon90 Mins
    languageIcon English
    Free
    Must Attempt

    CBT-1 General Awareness Section Test 1

    languageIcon English
    • pdpQsnIcon40 Questions
    • pdpsheetsIcon30 Marks
    • timerIcon25 Mins
    languageIcon English

    Similar Questions

    test-prime-package

    Access ‘RRB JE’ Mock Tests with

    • 60000+ Mocks and Previous Year Papers
    • Unlimited Re-Attempts
    • Personalised Report Card
    • 500% Refund on Final Selection
    • Largest Community
    students-icon
    354k+ students have already unlocked exclusive benefits with Test Prime!
    Our Plans
    Monthsup-arrow