Correct option is C


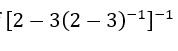
The value of

is

The number of prime numbers lying between 323 and 332 is:
The number of prime numbers lying between 300 and 305 is:
Roman numerals CXIX, XCIX, CXXI, CIX and CXX can be written in increasing order as
Which one of the following statement is not correct?
The number of prime numbers having two digits in which the digits are also prime is
The product of two positive numbers is 9245. If the first number is five times of the second number, then the sum of the two numbers is:
The number of prime numbers lying between 393 and 401, both included, is:
The number of prime numbers lying between 466 and 476, both included, is:
The number of prime numbers lying between 430 and 438, both included, is:
12 thousand + 13 hundred + 2 tens is equal to:
Suggested Test Series
Suggested Test Series