Correct option is C
Given:
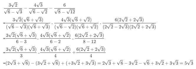
Solution:

The value of is:
Given:
Solution:

If x is the largest and y is the lowest among ∜6,√2 and ∛4, then the value of will be
If then the value of is
Given that and y = If then what is the value of (a + 2b)?
If , then what is the value of (a + b) ?
Find the value of .
If
then find the value of (a+b).
If x. Find .
If then what is the value of ?
Which of the following is correct?
(i) √7 + √2 > √6 + √3
(ii) √7 + √2 < √6 + √3
(iii) √7 + √2 = √6 + √3
Find the value of
Suggested Test Series
Suggested Test Series