hamburger menu
All Coursesall course arrow
adda247
reward-icon
adda247
    arrow
    arrow
    arrow
    The simple interest for 3 years on a certain amount at an annual interest rate of 12% is Rs. 6750. What will be the compound interest for the same amo
    Question

    The simple interest for 3 years on a certain amount at an annual interest rate of 12% is Rs. 6750. What will be the compound interest for the same amount, same interest rate, and same time period, rounded to the nearest rupee?

    A.

    Rs. 7485

    B.

    Rs. 7578

    C.

    Rs. 7592

    D.

    Rs. 7629

    Correct option is C

     
    Given:
    - Time (T) = 3 years
    - Annual interest rate (R) = 12%
    - Simple interest (SI) = ₹6750
    Formula Used:
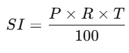
    1. Simple Interest formula:
    2. To find Principal (P) from SI:
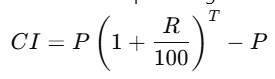
    3. Compound Interest (CI) formula for annual compounding: Solution:
    1. Calculate the principal amount (P): P = (6750 × 100) / (12 × 3) = 18750
    2. Calculate the compound interest:
    3. Calculate step-by-step:
    - Interest factor: 1 + (12/100) = 1.12
    - Raise 1.12 to the power of 3: 1.12 * 1.12 * 1.12
    - Calculate the total amount: Amount = 18750 × 1.12 × 1.12 × 1.12 =
    - Calculate the compound interest: CI = 26342.4 - 18750 = 7592.4 (Approx. 7592)

    Free Tests

    Free
    Must Attempt

    UP SI 2025 Full Mock Test : 01

    languageIcon English
    • pdpQsnIcon160 Questions
    • pdpsheetsIcon400 Marks
    • timerIcon120 Mins
    languageIcon English
    Free
    Must Attempt

    UP Police Constable Full Mock Test 01

    languageIcon English
    • pdpQsnIcon150 Questions
    • pdpsheetsIcon300 Marks
    • timerIcon120 Mins
    languageIcon English
    Free
    Must Attempt

    Government Policies and Scheme

    languageIcon English
    • pdpQsnIcon10 Questions
    • pdpsheetsIcon20 Marks
    • timerIcon5 Mins
    languageIcon English

    Similar Questions

    test-prime-package

    Access ‘Allahabad High Court Group D’ Mock Tests with

    • 60000+ Mocks and Previous Year Papers
    • Unlimited Re-Attempts
    • Personalised Report Card
    • 500% Refund on Final Selection
    • Largest Community
    students-icon
    354k+ students have already unlocked exclusive benefits with Test Prime!
    Our Plans
    Monthsup-arrow