hamburger menu
All Coursesall course arrow
adda247
reward-icon
adda247
    arrow
    arrow
    arrow
    The resistance of a uniform metallic conductor is ______.
    Question

    The resistance of a uniform metallic conductor is ______.

    A.

    inversely proportional to its area

    B.

    inversely proportional to its electrical resistivity

    C.

    inversely proportional to its length

    D.

    directly proportional to its area

    Correct option is A


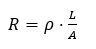
    Formula for Resistance: The resistance (R) of a conductor is given by:

    Where:
    · R : Resistance.
    · ρ : Electrical resistivity of the material.
    · L : Length of the conductor.
    · A : Cross-sectional area of the conductor.
    Hence, resistance of a uniform metallic conductor is inversely proportional to its area.

    test-prime-package

    Access ‘RRB ALP Fitter’ Mock Tests with

    • 60000+ Mocks and Previous Year Papers
    • Unlimited Re-Attempts
    • Personalised Report Card
    • 500% Refund on Final Selection
    • Largest Community
    students-icon
    383k+ students have already unlocked exclusive benefits with Test Prime!
    test-prime-package

    Access ‘RRB ALP Fitter’ Mock Tests with

    • 60000+ Mocks and Previous Year Papers
    • Unlimited Re-Attempts
    • Personalised Report Card
    • 500% Refund on Final Selection
    • Largest Community
    students-icon
    383k+ students have already unlocked exclusive benefits with Test Prime!
    Our Plans
    Monthsup-arrow