arrow
arrow
arrow
The Moment of Inertia of a circular area of diameter 'd' about its diameter axis is-
Question

The Moment of Inertia of a circular area of diameter 'd' about its diameter axis is-

A.

πd^2/64

B.

πd^3/36

C.

πd^4/64

D.

πd^2/36

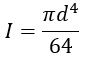
Correct option is C


The moment of inertia (I) of a circular area of diameter 'd' about its diameter axis is given by the formula:

This formula is used to calculate the moment of inertia for a circular cross-section, which is a measure of the distribution of area relative to an axis, and is critical in determining the resistance of the section to bending.

test-prime-package

Access ‘RRB JE Mechanical Engineering’ Mock Tests with

  • 60000+ Mocks and Previous Year Papers
  • Unlimited Re-Attempts
  • Personalised Report Card
  • 500% Refund on Final Selection
  • Largest Community
students-icon
368k+ students have already unlocked exclusive benefits with Test Prime!
test-prime-package

Access ‘RRB JE Mechanical Engineering’ Mock Tests with

  • 60000+ Mocks and Previous Year Papers
  • Unlimited Re-Attempts
  • Personalised Report Card
  • 500% Refund on Final Selection
  • Largest Community
students-icon
368k+ students have already unlocked exclusive benefits with Test Prime!
Our Plans
Monthsup-arrow