hamburger menu
All Coursesall course arrow
adda247
reward-icon
adda247
    arrow
    arrow
    arrow
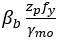
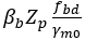
    The design bending strength of a laterally unsupported beam is given by? (1) (2) (3) (4)
    Question

    The design bending strength of a laterally unsupported beam is given by?
    (1)
    (2)
    (3)
    (4)

    A.

    Only (1) is correct

    B.

    Only (4) is correct

    C.

    Only (2) and (3) are correct

    D.

    Only (2) and (4) are correct

    Correct option is C



    Similar Questions

    test-prime-package

    Access ‘RSMSSB JE’ Mock Tests with

    • 60000+ Mocks and Previous Year Papers
    • Unlimited Re-Attempts
    • Personalised Report Card
    • 500% Refund on Final Selection
    • Largest Community
    students-icon
    368k+ students have already unlocked exclusive benefits with Test Prime!
    test-prime-package

    Access ‘RSMSSB JE’ Mock Tests with

    • 60000+ Mocks and Previous Year Papers
    • Unlimited Re-Attempts
    • Personalised Report Card
    • 500% Refund on Final Selection
    • Largest Community
    students-icon
    368k+ students have already unlocked exclusive benefits with Test Prime!
    Our Plans
    Monthsup-arrow