hamburger menu
All Coursesall course arrow
adda247
reward-icon
adda247
    arrow
    arrow
    arrow
    The breadth of a rectangle is 14 cm and when the length of the rectangle is increased by 2 cm, then the area of rectangle becomes equal to area of a c
    Question



    The breadth of a rectangle is 14 cm and when the length of the rectangle is increased by 2 cm, then the area of rectangle becomes equal to area of a circle which diameter is 28 cm. Find the length of the rectangle (in cm)?

    A.

    40

    B.

    46

    C.

    48

    D.

    44

    E.

    42

    Correct option is E


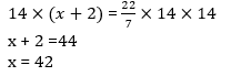
    Let length of the rectangle be ‘x’ cm
    Radius of the circle = 28/2=14 cm
    ATQ,

    Free Tests

    Free
    Must Attempt
    Video Solutions

    RBI Assistant Pre 2026 Full Mock Test -01

    languageIcon English
    • pdpQsnIcon100 Questions
    • pdpsheetsIcon100 Marks
    • timerIcon60 Mins
    languageIcon English
    Free
    Must Attempt

    SBI Clerk Prelims Full Mock Test-01

    languageIcon English
    • pdpQsnIcon100 Questions
    • pdpsheetsIcon100 Marks
    • timerIcon60 Mins
    languageIcon English
    Free
    Must Attempt

    SBI Clerk Prelims Full Mock Test-02

    languageIcon English
    • pdpQsnIcon100 Questions
    • pdpsheetsIcon100 Marks
    • timerIcon60 Mins
    languageIcon English

    Similar Questions

    test-prime-package

    Access ‘IBPS Clerk Prelims’ Mock Tests with

    • 60000+ Mocks and Previous Year Papers
    • Unlimited Re-Attempts
    • Personalised Report Card
    • 500% Refund on Final Selection
    • Largest Community
    students-icon
    361k+ students have already unlocked exclusive benefits with Test Prime!
    Our Plans
    Monthsup-arrow