hamburger menu
All Coursesall course arrow
adda247
reward-icon
adda247
    arrow
    arrow
    arrow
    Study the given statements (S1, S2) about centrifugal pumps and select the most appropriate option with respect to the correctness of the statemen
    Question

    Study the given statements (S1, S2) about centrifugal pumps and select the most
    appropriate option with respect to the correctness of the statements.
    S₁: The operation of pumps connected in series (more than one impeller in the same shaft) increase the flow rate.
    S₂: The operation pumps connected in parallel allow the head to increase.

    A.

    S₁ is false and S₂ is true

    B.

    S₁ is true and S₂ is false

    C.

    Both S₁ and S₂ are false

    D.

    Both S₁ and S₂ are true

    Correct option is C


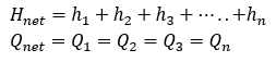
    Pumps operating in series When two pumps are connected in series at the same flow rate the series pump yield high heads as compared to the individual heads produce by each pump.


    Pumps operating in parallel In parallel, two pumps can simultaneously discharge a greater amount of water than the individual one. Hence boost the discharge, if two pumps are connected in parallel.


    test-prime-package

    Access ‘SSC JE Civil’ Mock Tests with

    • 60000+ Mocks and Previous Year Papers
    • Unlimited Re-Attempts
    • Personalised Report Card
    • 500% Refund on Final Selection
    • Largest Community
    students-icon
    354k+ students have already unlocked exclusive benefits with Test Prime!
    test-prime-package

    Access ‘SSC JE Civil’ Mock Tests with

    • 60000+ Mocks and Previous Year Papers
    • Unlimited Re-Attempts
    • Personalised Report Card
    • 500% Refund on Final Selection
    • Largest Community
    students-icon
    354k+ students have already unlocked exclusive benefits with Test Prime!
    Our Plans
    Monthsup-arrow