Correct option is A
Both statements are correct.
Statement (I) is correct because the elasticity of demand can be calculated using marginal revenue (MR) and average revenue (AR) as
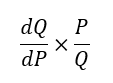
Statement (II) is correct because the point price elasticity of demand is defined as
(a) Both the statements are correct.
