Correct option is A
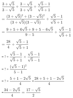
Given:
Formula Used:
(a + b)2 = a2 + b2 + 2ab
a2 - b2 =(a + b)(a - b)
Solution:

Solve the given equation.
Given:
Formula Used:
(a + b)2 = a2 + b2 + 2ab
a2 - b2 =(a + b)(a - b)
Solution:

Given that and y = If then what is the value of (a + 2b)?
If , then what is the value of (a + b) ?
Find the value of .
If
then find the value of (a+b).
If x. Find .
If then what is the value of ?
Which of the following is correct?
(i) √7 + √2 > √6 + √3
(ii) √7 + √2 < √6 + √3
(iii) √7 + √2 = √6 + √3
Find the value of
Find the value of: 26⁻¹⁹ ÷ 26¹⁸ × 26³
The value of is
Suggested Test Series
Suggested Test Series