hamburger menu
All Coursesall course arrow
adda247
reward-icon
adda247
    arrow
    arrow
    arrow
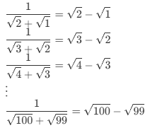
    ​Simplify the following.12+1+13+2+14+3+...+1100+99\frac{1}{\sqrt2+\sqrt1}+\frac{1}{\sqrt3+\sqrt2}+\frac{1}{\sqrt4+\sqrt3}+...+\frac{1}{\sqrt{100}+\sqr
    Question

    Simplify the following.

    12+1+13+2+14+3+...+1100+99\frac{1}{\sqrt2+\sqrt1}+\frac{1}{\sqrt3+\sqrt2}+\frac{1}{\sqrt4+\sqrt3}+...+\frac{1}{\sqrt{100}+\sqrt{99}}​​

    A.

    4

    B.

    10

    C.

    9

    D.

    3

    Correct option is C

    Given:
    12+1+13+2+14+3+...+1100+99\frac{1}{\sqrt2+\sqrt1}+\frac{1}{\sqrt3+\sqrt2}+\frac{1}{\sqrt4+\sqrt3}+...+\frac{1}{\sqrt{100}+\sqrt{99}}
    Concept Used:

    For each term of the form 1n+1+n\frac{1}{\sqrt{n+1} + \sqrt{n}},  we rationalize the denominator by multiplying both the numerator and the denominator by the conjugate of the denominator  n+1n{\sqrt{n+1} - \sqrt{n}}
    1n+1+n×n+1nn+1n=n+1n\frac{1}{\sqrt{n+1} + \sqrt{n}} \times \frac{\sqrt{n+1} - \sqrt{n}}{\sqrt{n+1} - \sqrt{n}} = \sqrt{n+1} - \sqrt{n}​​
    Solution:

    Add all of the above given results:
    21+32+43++100991001=101=9\sqrt{2} - \sqrt{1} + \sqrt{3} - \sqrt{2} + \sqrt{4} - \sqrt{3} + \dots + \sqrt{100} - \sqrt{99}\\\sqrt{100} - \sqrt{1} = 10 - 1 = 9\\​​
    Thus, the simplified value of the sum is 9.

    Free Tests

    Free
    Must Attempt

    CBT-1 Full Mock Test 1

    languageIcon English
    • pdpQsnIcon100 Questions
    • pdpsheetsIcon100 Marks
    • timerIcon90 Mins
    languageIcon English
    Free
    Must Attempt

    RRB NTPC Graduate Level PYP (Held on 5 Jun 2025 S1)

    languageIcon English
    • pdpQsnIcon100 Questions
    • pdpsheetsIcon100 Marks
    • timerIcon90 Mins
    languageIcon English
    Free
    Must Attempt

    CBT-1 General Awareness Section Test 1

    languageIcon English
    • pdpQsnIcon40 Questions
    • pdpsheetsIcon30 Marks
    • timerIcon25 Mins
    languageIcon English

    Similar Questions

    test-prime-package

    Access ‘RRB NTPC’ Mock Tests with

    • 60000+ Mocks and Previous Year Papers
    • Unlimited Re-Attempts
    • Personalised Report Card
    • 500% Refund on Final Selection
    • Largest Community
    students-icon
    353k+ students have already unlocked exclusive benefits with Test Prime!
    Our Plans
    Monthsup-arrow