hamburger menu
All Coursesall course arrow
adda247
reward-icon
adda247
    arrow
    arrow
    arrow
    RICE is a rhombus. Find the perimeter of the rhombus according to the given measurement.
    Question



    RICE is a rhombus. Find the perimeter of the rhombus according to the given measurement.

    A.

    20

    B.

    28

    C.

    52

    D.

    68

    Correct option is C


    Key points about a rhombus: 1. All sides of a rhombus are equal. 2. The diagonals bisect each other at right angles.
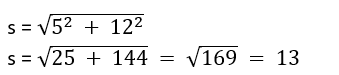
    Steps to solve: 1. Use the Pythagoras theorem to find the side length of the rhombus. Each side is the hypotenuse of the right triangles formed by the diagonals. From the figure: - One half of diagonal CE is 5, and one half of diagonal RI is 12. - The side length (s) is given by: Perimeter = 4 × side length = 4 × 13 = 52

    Free Tests

    Free
    Must Attempt

    UPTET Paper 1: PYP Held on 23rd Jan 2022 (Shift 1)

    languageIcon English
    • pdpQsnIcon150 Questions
    • pdpsheetsIcon150 Marks
    • timerIcon150 Mins
    languageIcon English
    Free
    Must Attempt

    UPTET Paper 2 Social Science : PYP Held on 23rd Jan 2022 (Shift 2)

    languageIcon English
    • pdpQsnIcon150 Questions
    • pdpsheetsIcon150 Marks
    • timerIcon150 Mins
    languageIcon English
    Free
    Must Attempt

    UPTET Paper 2 Maths & Science : PYP Held on 23rd Jan 2022 (Shift 2)

    languageIcon English
    • pdpQsnIcon150 Questions
    • pdpsheetsIcon150 Marks
    • timerIcon150 Mins
    languageIcon English
    test-prime-package

    Access ‘REET’ Mock Tests with

    • 60000+ Mocks and Previous Year Papers
    • Unlimited Re-Attempts
    • Personalised Report Card
    • 500% Refund on Final Selection
    • Largest Community
    students-icon
    354k+ students have already unlocked exclusive benefits with Test Prime!
    Our Plans
    Monthsup-arrow