arrow
arrow
arrow
Ratio of maximum to average shear stress in a circular cross-section is
Question

Ratio of maximum to average shear stress in a circular cross-section is

A.

1.2

B.

1.33

C.

1.5

D.

None of these

Correct option is B



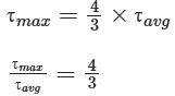
For circular section maximum shear stress

Similar Questions

test-prime-package

Access ‘RSMSSB JE’ Mock Tests with

  • 60000+ Mocks and Previous Year Papers
  • Unlimited Re-Attempts
  • Personalised Report Card
  • 500% Refund on Final Selection
  • Largest Community
students-icon
383k+ students have already unlocked exclusive benefits with Test Prime!
test-prime-package

Access ‘RSMSSB JE’ Mock Tests with

  • 60000+ Mocks and Previous Year Papers
  • Unlimited Re-Attempts
  • Personalised Report Card
  • 500% Refund on Final Selection
  • Largest Community
students-icon
383k+ students have already unlocked exclusive benefits with Test Prime!
Our Plans
Monthsup-arrow