Correct option is C





Let u(x, t) be a smooth solution to the wave equation:
Which of the following is FALSE?
Consider the second-order PDE:
for . Which of the following is true?
Which of the following PDEs is NOT PARABOLIC for all x,y real numbers .

Consider the wave equation for the wave equation :

Which one of the following is true ?
The following partial differential equation is

If u = u(x,t) is the solution of the initial value problem :

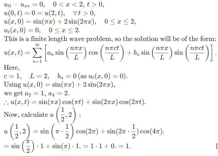
Let u = u(x,t) be the solution of the following initial value problem:
