hamburger menu
All Coursesall course arrow
adda247
reward-icon
adda247
    arrow
    arrow
    arrow
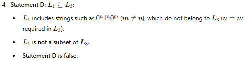
    Let: L₁ = {0ⁿ1ⁿ0ᵐ | n ≥ 1, m ≥ 1} L₂ = {0ⁿ1ᵐ0ᵐ | n ≥ 1, m ≥ 1} L₃ = {0ⁿ1ⁿ0ⁿ | n ≥ 1} Which of the following are correct statements? A.
    Question



    Let:
    L₁ = {0ⁿ1ⁿ0ᵐ | n ≥ 1, m ≥ 1}
    L₂ = {0ⁿ1ᵐ0ᵐ | n ≥ 1, m ≥ 1}
    L₃ = {0ⁿ1ⁿ0ⁿ | n ≥ 1}
    Which of the following are correct statements?
    A. L₃ = L₁ ∩ L₂
    B. L₁ and L₂ are context-free languages, but L₃ is not a context-free language.
    C. L₁ and L₂ are not context-free languages, but L₃ is a context-free language.
    D. L₁ is a subset of L₃
    Choose the correct answer from the options below.

    A.

    A and B only

    B.

    A and C only

    C.

    A and D only

    D.

    A only

    Correct option is D







    Free Tests

    Free
    Must Attempt

    Basics of Education: Pedagogy, Andragogy, and Hutagogy

    languageIcon English
    • pdpQsnIcon10 Questions
    • pdpsheetsIcon20 Marks
    • timerIcon12 Mins
    languageIcon English
    Free
    Must Attempt

    UGC NET Paper 1 Mock Test 1

    languageIcon English
    • pdpQsnIcon50 Questions
    • pdpsheetsIcon100 Marks
    • timerIcon60 Mins
    languageIcon English
    Free
    Must Attempt

    Basics of Education: Pedagogy, Andragogy, and Hutagogy

    languageIcon English
    • pdpQsnIcon10 Questions
    • pdpsheetsIcon20 Marks
    • timerIcon12 Mins
    languageIcon English

    Similar Questions

    test-prime-package

    Access ‘UGC NET Computer Science’ Mock Tests with

    • 60000+ Mocks and Previous Year Papers
    • Unlimited Re-Attempts
    • Personalised Report Card
    • 500% Refund on Final Selection
    • Largest Community
    students-icon
    415k+ students have already unlocked exclusive benefits with Test Prime!
    Our Plans
    Monthsup-arrow