hamburger menu
All Coursesall course arrow
adda247
reward-icon
adda247
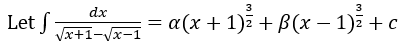
    Question

    is equal to:

    A.


    B.


    C.


    D.


    Correct option is C

    We have

    Free Tests

    Free
    Must Attempt

    CUET 2025 English Language Mock 01

    languageIcon English
    • pdpQsnIcon50 Questions
    • pdpsheetsIcon200 Marks
    • timerIcon45 Mins
    languageIcon English