Correct option is A
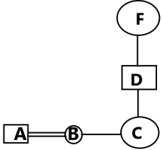
Given: In a family of six members , A is husband of B.
C is B's sister, and D is C's father.
F is D's mother.

From the given information relationship diagram will be

F is Grandmother-in-law of A
Thus, correct option is (a).
In a family of six members , A is husband of B. C is B's sister, and D is C's father. F is D's mother. How is F related to A?


If in a certain language, SPACE is coded as TQBDF, how will PURSE be coded in that code?
In a family of six members , A is husband of B. C is B's sister, and D is C's father. F is D's mother. How is F related to A?
Select the option figure in which the given figure is embedded as its part (rotation isNOT allowed).

What is the missing number '?' in the series 2, 6, 8, 16, 30, 54, ?
Suggested Test Series
Suggested Test Series