Correct option is B
Given:
'A ! B' means ‘A is the father of B’,
'A & B' means ‘A is the brother of B’,
'A * B' means ‘A is the wife of B’ and
'A # B' means ‘A is the daughter of B’.
Symbols | ! | & | * | # |
Relations | Father | Brother | Wife | Daughter |

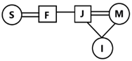
From the given information Blood Relationship Diagram will be:

S is the husband's brother's wife of M will be in this given condition S * F & J ! I # M.
so this condition will be satisfied.
Thus, the correct option is (b) S * F & J ! I # M.
