Correct option is A
A of | ||||
Symbols | ? | × | : | − |
Relations | Wife | Brother | Father | Son |
B | ||||


A of | ||||
Symbols | ? | × | : | − |
Relations | Wife | Brother | Father | Son |
B | ||||


In a certain code language,
‘A + B’ means ‘A is the mother of B’,
‘A – B’ means ‘A is the brother of B’,
‘A × B’ means ‘A is the husband of B’ and
‘A ÷ B’ means ‘A is the father of B’.
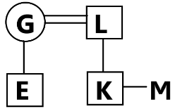
How is M related to K if ‘M + N ÷ L – J × K’?
In a certain code language,
‘A + B’ means ‘A is the mother of B’,
‘A - B’ means ‘A is the brother of B’,
‘A × B’ means ‘A is the wife of B’,
‘A % B’ means ‘A is the father of B’ and
‘A # B’ means ‘A is the daughter of B’.
How is N related to T if ‘C % T # E + P x N’?
In a certain code language,
A + B means ‘A is the mother of B’,
A – B means ‘A is the brother of B’,
A x B means ‘A is the wife of B’,
A % B means ‘A is the father of B’,
and A # B means ‘A is the daughter of B’.
How is E related to K if ‘K x N – L # E % C’?
In a certain code language,
' A+B ' means ' A is the daughter of B ',
' A - B ' means ' A is the husband of B ',
' A×B ' means ' A is the wife of B ' and
' A÷B ' means ' A is the son of B '.
How is P related to T if ' P+Q-R+S×T'?
The given question is based on the following information:
J $ K means “J is the father of K”
J # K means “J is the husband of K”
J @ K means “J is the daughter of K”
J * K means “J is the wife of K”
If expression “L # N @ M # P $ Q” is true, then which of the following statement is not correct?
The given question is based on the following information:
A @ B means 'A is husband of B'
A # B means 'A is sister of B'
A * B means 'A is mother of B'
A © B means 'A is son of B'
Which of the following indicates the relationship 'T is daughter of V'?
The given question is based on the following information:
A # B means 'A is father of B'
A & B means 'A is mother of B'
A @ B means 'A is son of B'
A ⟙ B means 'A is wife of B'
Which of the following means 'H is the grandson of R'?
The given question is based on the following information:
'M + N' means 'M' is the mother of N
'M × N' means 'M' is the son of N
'M - N' means 'M' is the husband of N
'M ÷ N' means 'M' is the sister of N
If expression 'D ÷ H × R - P + J' is true, then how is 'D' related to 'J'?
The given question is based on the following information:
P#Q means 'P is the husband of Q'
P@Q means 'P is the wife of Q'
P£Q means 'P is the father of Q'
P*Q means 'P is the daughter of Q'
If expression 'P#R*Q@T£V' is true, then which of the following is definitely true?
Suggested Test Series
Suggested Test Series