Correct option is D
Given:
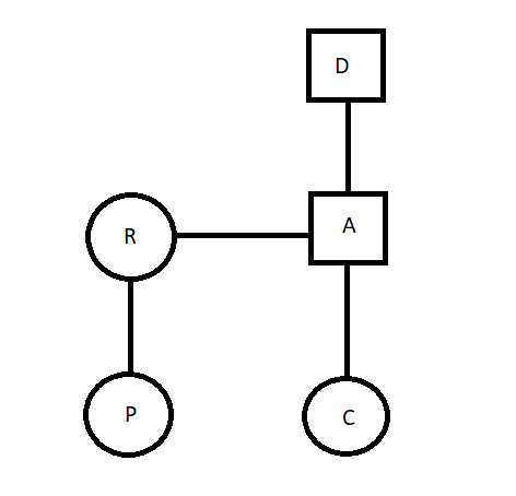
From the given information following family diagram will be -


To explain why A is P's uncle, let's analyze the relationships step by step:
R (Mother of P) is A's Sister:
It is stated that R is the mother of P and the sister of A.
This makes A the brother of R.
The Brother of One's Mother is an Uncle:
By definition, the brother of someone's parent is their uncle.
Since A is the brother of P's mother (R), A is P's uncle.