Correct option is B

From the given information family diagram will be,

‘B’ is uncle of ‘E’.
Thus, the correct option is (b).
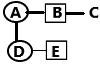
‘B’ is the brother of ‘C’, ‘A’ is the sister of ‘B’. ‘E’ is the brother of ‘D’, ‘D’ is the daughter of ‘A’. How is ‘B’ related to ‘E’?

From the given information family diagram will be,

‘B’ is uncle of ‘E’.
Thus, the correct option is (b).
Kiran has a brother Anil. Kiran is the son of Palak. Ramesh is Palak's father In terms of relationship what is Anil of Ramesh?
Pointing to a man in a photograph, a woman said "His brother's father is the only son of my grandfather". How is the woman related to the man in the photograph?
K is the sister of L. L is the son of M. M is the wife of N. N is the brother of O. How is K related to O?
If 'T' is the father of 'P'. 'Q' is the daughter of 'P'. 'S' is the daughter of 'R' who is the mother of 'Q'. Then how is 'T' related to 'S'?
Pointing towards a photograph, Raghu said, 'She is the only daughter of my mother's father’s only daughter'. How is the lady related to Raghu's father?
Alka introduced a man: “He is the only son of the father of my sister’s brother.” How is this person related to Alka?
‘B’ is the brother of ‘C’, ‘A’ is the sister of ‘B’. ‘E’ is the brother of ‘D’, ‘D’ is the daughter of ‘A’. How is ‘B’ related to ‘E’?
Pointing to Rahul, Smriti said: “He is the son of the only child of my mother.” What is Smriti’s relation to Rahul?
Kiran is the father of Ravi. Ravi is the brother of Kavya. Then how is Kavya related to Kiran?
Sudha is the wife of Anand. Kavita is the mother of Gaurav. Anu is the daughter of Ravi, who is the brother of Aryan. Anu's mother Kavita is the daughter-in-law of Anand. How is Sudha related to Aryan?
Suggested Test Series
Suggested Test Series