Correct option is B

to find the value of

Formula Used:

Solution:

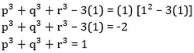
Now, from the formula and using eqn(1)


to find the value of

Formula Used:

Solution:

Now, from the formula and using eqn(1)

The sum of squares of all the roots of the equation:
is:
The cost of 2 pens and 5 pencils is ₹ 57. If the cost of a pen is increased by ₹ 1.50 and that of a pencil is decreased by ₹ 1, then the cost of 5 pens and 3 pencils is ₹ 109. What is the original cost of 3 pens and 4 pencils?
One of the factors of 6x² – 24xy + 17x + 24y² – 34y + 5 is:
What is the remainder when the polynomial x¹⁰⁰ – 2x⁵¹ + 1 is divided by (x² – 1) ?
If x + = –1, then compute:
Let x be the greatest number which, when dividing 31, 61 and 91, leaves the same remainder. The LCM of x and 48 is:
The value of is
Suggested Test Series
Suggested Test Series